Noutăți
Orar
Orarul sunetelor
Orarul lecțiilor
Orarul cercurilor
Galerii
Galerie Foto
Galerie Video
Contacte
Sidebar
Despre Noi
Istoria instituției
Absolvenți de onoare
Mândria instituției
Admitere
Plan de acțiuni
Managementul Instituției
CV-ul directorului
Rețeaua școlară
Oferta educațională
Echipa educațională
Dotări și Reparații
Dotări
Reparații
Transparență financiară
Achiziții publice
Bugetul Instituției
Cheltuielile instituției
Taxe-cotizații
Colaborări
Circulare
Ordine
Donații
Alimentația
Extracurricular-Performanțe
Competiții
Echipa de fotbal
Excursii
Părinți
Surse pentru părinți
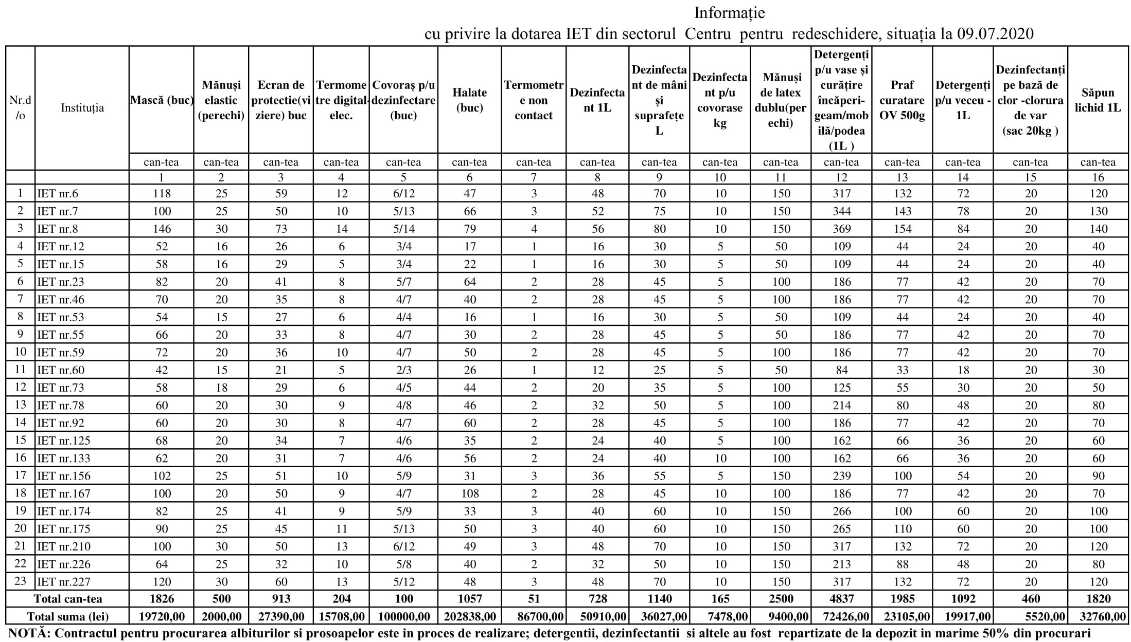
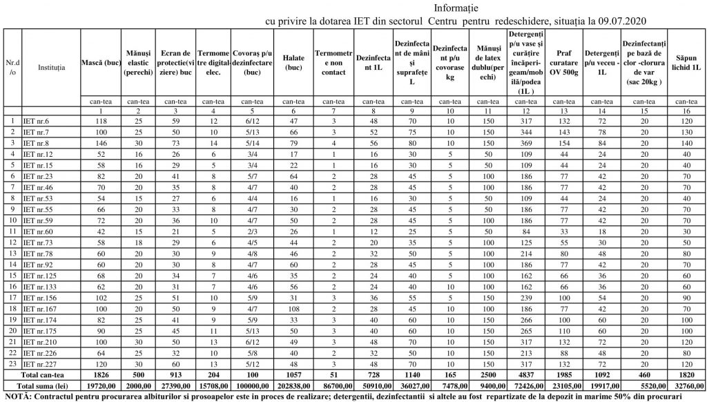
Informație pentru redeschidere IET DETS Centru